普源示波器DS70000實數與復數模式的應用場景
任意波形發生器DG70000共有四條輸出通道,它們共用了一個可調輸出時鐘。在可調輸出時鐘的驅動下,通過數模轉換器 (DAC)將需要輸出的內容逐一呈現在端口上。每個通道都可以工作在兩種模式下,分為實數和復數模式。實數模式比較直接和簡單,用戶通過控制可變時鐘的頻率和波表的內容來精確控制輸出的波形。實數模式下,波表里面有什么,機器就輸出什么內容。

圖 1 DG70000 及其輸出通道
當任意波形發生器切換到復數模式時,波表也需要隨之變化。復數模式所對應的波表為復數波表,該波表實質上由兩個實數波表組成。見圖2,這兩個波表會被送入數字可控振蕩器進行數字域混頻并最終合成為一個信號。這個信號也會進入到數模轉換器并在可變時鐘的驅動下輸出波形。

圖 2 任意波形發生器的復數模式實數
相較于實數模式,復數模式更為復雜和非直觀一些。復數模式的基礎為正交調制(IQ Modulation),這兩個實數波表就是復數模式的基帶內容,然后進入乘法器(混頻器)和加法器輸出最終信號。

圖 3 正交調制
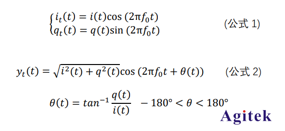
我們假設這兩個實數波表輸出的內容為i(t)和q(t)這兩個時域信號。將這兩個時域信號輸入IQ混頻器后獲得了公式1。最后將這兩個公式相加并化簡可以得到公式2。這也是最后運送到 DAC進行輸出的信號。可以看出,IQ基帶信號能控制輸出信號的相位和幅度。而在頻域上,基帶的內容被整體搬移到了NCO頻率的附近。正是這種特性,賦予了復數模式極大的靈活性。

應用場景
1、實數模式-時鐘源
許多測量測試的時候需要用到時鐘源,尤其是數字電路測試的時候。當需要用到特定時鐘源 的時候,可以使用DG70000系列任意波形發生器直接生成所需要的頻率、幅度的時鐘信號。同時兼容單端和差分信號輸出,支持多種接口模式,為用戶部署測試提供了便利。
應用注意點:
·當需要使用差分時鐘,比如 LVDS、LVPECL 等的時候,可以將通道切換到 DC 輸出鏈路 并使用其差分輸出端口。當僅僅使用單端時鐘時,可以將其中一個差分端口接上50歐姆負載。 l
·實數模式能便利地生成不同的方波、正弦波和三角波等進行測試。但是當輸出頻率過高,單個周期內的采樣點較少時,仍需要關注波形質量。

5 使用 DG70000 系列任意波形發生器作為數字時鐘源
2、復數模式-時鐘源
在射頻應用中,時鐘源需要關注頻譜質量。一些應用場景下,非整倍數實數波表可能會導致比較差得頻譜質量。當面對這種需求,可以考慮使用復數模式并借助數字可控混頻器來獲得更高質量的信號。
應用注意點 :
·當采用復數模式生成單頻率正弦信號時,可以使用內置插件生成一個較低頻率的正弦基帶復數波表,比如1MHz。然后通過數字混頻器搬移到更高的頻率,當混頻器被設置到999MHz時,通道即輸出一個1GHz的信號。 l
·不推薦使用復數模式生成方波、三角波之類的波形。
普源示波器DG70000系列任意波形發生器憑借其5GHz模擬帶寬和12GSa/s的輸出速率,能覆蓋大部分的需求。實數和復數模式為用戶的使用提供了更多的便利性,在各種實驗和測試環境下更加游刃有余。高級序列、多通道同步等功能更是為用戶在量子科技、無線通信、復雜場景模擬等多種應用場景提供高品質的信號輸出,從而應對行業領先應用帶來的挑戰。
更多關于普源示波器的應用以及購買,歡迎咨詢安泰測試:http://agitek.com.cn






關注官方微信
